SIP Investment Calculator
Note: Returns are assumed constant and compounded monthly. Actual results vary with market performance.
🏦 SIP Investment Calculator: Calculate Your Mutual Fund Returns Instantly
💡 Introduction: What Is an SIP?
A Systematic Investment Plan (SIP) is one of the smartest and most disciplined ways to invest in mutual funds. It allows you to invest a fixed amount every month, helping you build wealth steadily without worrying about market timing.
In India, millions of investors use SIPs to achieve long-term goals such as buying a house, funding higher education, or planning retirement. But to know how much your investment will grow, you need a reliable SIP Investment Calculator.
A SIP calculator helps you estimate the future value of your monthly investments based on your expected return rate, tenure, and inflation. It’s quick, accurate, and completely free.
📈 Why Use an SIP Calculator?
Manual calculations can be confusing because SIPs involve compounding returns every month.
An online SIP Investment Calculator simplifies this by automatically computing:
- Total invested amount
- Expected maturity value (future value)
- Overall returns and CAGR (Compounded Annual Growth Rate)
- Inflation-adjusted returns
With just a few inputs, you can instantly see how much your money can grow over time.

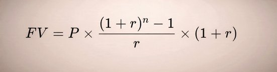
🧮 How Does a SIP Calculator Work?
The SIP calculator uses the future value formula for a series of monthly investments compounded at a fixed rate:
Where:
- FV = Future Value of the investment
- P = Monthly investment (SIP amount)
- r = Rate of return per month (annual return ÷ 12)
- n = Total number of months

👉 Example:
If you invest ₹10,000 every month for 10 years at 12% annual return,
the total investment is ₹12,00,000 and the maturity value becomes around ₹23,23,000.
That’s ₹11+ lakh profit through disciplined investing!
🔢 Benefits of Using a SIP Investment Calculator
- Saves Time: Instant results, no manual math.
- Accurate: Automatically compounds your returns monthly.
- Goal Planning: Helps plan for specific targets (e.g., ₹50 lakh corpus).
- Compare Returns: Test different SIP amounts and tenures.
- Understand Compounding: See how small monthly savings grow exponentially.
💰 Step-Up SIP Calculation
A Step-Up SIP allows you to increase your SIP amount annually — usually by 5%–15%.
This feature is useful for salaried investors whose income grows every year.
A good SIP calculator should include a step-up option so you can see the impact of incremental investments.
Example:
Starting with ₹10,000 SIP and increasing it by 10% each year for 10 years gives you a much higher corpus than a fixed SIP.
🌟 Advantages of Investing via SIP
- Rupee Cost Averaging: You buy more units when prices are low and fewer when high, averaging your cost.
- Power of Compounding: The longer you stay invested, the higher your returns grow.
- Flexibility: Start with as low as ₹500 per month.
- No Need to Time the Market: Regular investing beats emotional decisions.
- Automatic & Hassle-Free: Deducted directly from your bank every month.
⚙️ Features of a Good SIP Calculator
When selecting a SIP calculator (like yours), ensure it provides:
- Customizable inputs (SIP amount, tenure, return rate, inflation)
- Graphical growth chart
- Real vs nominal return comparison
- Step-up SIP and lump-sum investment options
- Download/export of results (CSV or PDF)
Your online SIP tool offers all these — making it one of the most complete calculators for 2025.
🧠 How to Use an SIP Calculator (Step-by-Step)
- Enter your Monthly SIP amount (e.g., ₹10,000).
- Set the Expected Annual Return (e.g., 12%).
- Choose your Investment Period (e.g., 10 or 15 years).
- Enter Inflation Rate (optional, e.g., 6%).
- Click “Calculate” — the tool shows your total investment, future value, and CAGR with a growth chart.

💬 Tip: Experiment with different durations and SIP values to understand how time impacts wealth creation.
🪙 Example SIP Calculations
| Monthly SIP | Duration | Expected Return | Future Value (₹) | Total Invested (₹) |
|---|---|---|---|---|
| ₹5,000 | 10 years | 12% | ₹11.6 lakh | ₹6.0 lakh |
| ₹10,000 | 15 years | 12% | ₹50 lakh | ₹18 lakh |
| ₹15,000 | 20 years | 12% | ₹1.5 crore | ₹36 lakh |
As you can see, the power of compounding is exponential — time is your greatest ally.
📊 CAGR vs Absolute Returns
- CAGR (Compounded Annual Growth Rate) reflects the annualized rate of return.
- Absolute Return shows total percentage growth over the entire period.
A SIP calculator shows both — helping you compare investments easily.
🧩 SIP vs Lump-Sum Investment
| Feature | SIP | Lump-Sum |
|---|---|---|
| Investment Style | Monthly | One-time |
| Market Timing Risk | Low | High |
| Discipline | High | Depends on investor |
| Best For | Salaried investors | Investors with large funds |
If you have a lump sum, you can still use a lump-sum calculator alongside SIP to balance your portfolio.
❓ FAQs on SIP Investment Calculator
1. Is SIP safe for beginners?
Yes, SIPs in mutual funds are safe when invested for the long term and diversified across equity and debt funds.
2. How much should I invest monthly?
It depends on your goals. For long-term wealth, start with at least 20% of your monthly income.
3. Can I increase my SIP amount?
Yes. Use a step-up SIP to automatically raise your amount annually.
4. What happens if I miss an SIP?
You can resume next month. Missing one or two SIPs doesn’t cancel your plan.
5. Is SIP better than FD?
For long-term goals (5+ years), SIPs in equity mutual funds usually outperform fixed deposits.
6. Do SIP calculators include inflation?
Yes, advanced calculators (like yours) show both nominal and inflation-adjusted returns.
📍 Conclusion
A SIP Investment Calculator is your first step toward smart financial planning.
It helps you visualize how small, consistent investments can create massive wealth over time.
Start investing early, stay consistent, and review your SIPs annually.
Use this calculator regularly to adjust for inflation and changing goals — because in the world of investing, “time in the market beats timing the market.”

